
巧克力是一個外來詞Chocolate的譯音,其口感細膩甜美,具有一股濃郁香氣,被作為甜食來直接食用,也可用于制作蛋糕、冰激凌等食品。巧克力能緩解人的情緒低落,使人興奮,同時也能提高人的注意力及智力,加強注意力,防治心血管循環疾病等。但其脂肪含量相當高,過多食用會造成肥胖。
2實驗部分
2.1實驗儀器及試劑
脂肪測定儀(那艾儀器);分析天平;鼓風干燥箱;干燥器;100mL量筒。實驗用水應符合GB/T6682中三級用水的規格,使用試劑除特殊說明外,均為分析純。
石油醚(60~90℃);濾紙;脫脂棉。
2.2實驗步驟
1.儀器準備:請參照說明書,清洗溶劑杯,干燥并稱重記為m0。
2.取樣:用研杵將樣品研碎,精確稱取干燥樣品約1.5g(記為m),放入濾紙筒內,并覆蓋上一層脫脂棉。
3.萃取:加入抽提溶劑50mL,打開冷凝水,啟動脂肪測定儀。設置回流時間2.5h、萃取溫度95℃,進行萃取。預干燥30min。
4.計算結果:抽提完成后,烘干溶劑杯至恒重,記為m1。
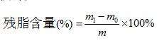
增重法計算殘脂含量:

其中,m1──溶劑杯和殘脂質量,g;
m0──溶劑杯質量,g;
m ──試樣質量,g;
計算得出實驗結果。
3注意事項
注意石油醚的揮發及易燃性,萃取過程中應及時注意通風。