
零食青豆,脆,香,是大多數小朋友的最愛,也是人們無聊時用來消遣或加餐的食物。市場上,根據人們的口味不同,制作出來的有蒜香味,蟹黃味,芥末味等不同口味的青豆;根據包裝形式不同,分為散裝和袋裝兩種。但由于制作工藝的要求,其中含有較多脂肪。其脂肪含量大概是多少呢?本方案將對袋裝青豆采用那艾儀器脂肪測定儀測定其脂肪含量。
2實驗部分
2.1實驗儀器及試劑
脂肪測定儀(那艾儀器);分析天平;鼓風干燥箱;旋風磨;干燥器;100mL量筒。
實驗用水應符合GB/T6682中三級用水的規格,使用試劑除特殊說明外,均為分析純。
石油醚(60~90℃);濾紙;脫脂棉。
2.2實驗步驟
1.儀器準備:請參照說明書,清洗溶劑杯,干燥并稱重記為m0。
2.取樣:將樣品在旋風磨中粉碎;精確稱取樣品約1g左右(記為m),放入帶有海砂的濾紙筒內,并覆蓋上一層脫脂棉。
3.萃取:加入抽提溶劑50mL,打開冷凝水,啟動脂肪測定儀。設置回流時間4.0h、萃取溫度95℃,進行萃取。預干燥15min。
4.計算結果:抽提完成后,烘干溶劑杯至恒重,稱重記為m1。
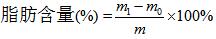
增重法計算脂肪含量:

其中,m1──溶劑杯和粗脂肪質量,g;
m0──溶劑杯質量,g;
m ──試樣質量,g;
計算得出實驗結果。
3結果分析
